통장에 돈만 넣어두면 뭔가 불안한 시대입니다. 주변에서는 주식, 펀드, 부동산까지 다양한 투자 이야기가 끊이지 않고, 친구들 모임에서도 어떤 투자가 좋은지 이야기하다 보면 늘 등장하는 단어가 있습니다. 바로 '연평균 수익률'입니다.
"이 ETF는 연평균 수익률이 10%야." "저 부동산 투자는 연 5% 정도 나온대." 이런 말들 많이 들어보셨죠? 하지만 이 수치가 정확히 무엇을 의미하는지, 그리고 다양한 투자 수단의 수익률을 어떻게 비교해야 하는지 명확히 아는 분들은 생각보다 많지 않습니다.
주변에서 들리는 높은 수익률에 현혹되어 충동적으로 투자했다가 후회하는 경우도 많죠. 연평균 수익률을 제대로 이해하는 것은 현명한 투자의 첫걸음입니다.

1. 연평균 수익률의 중요성과 기본 개념
투자를 시작하면 가장 먼저 마주치는 질문이 있습니다. "이 투자의 수익률은 얼마나 될까?" 투자의 성과를 측정하고 비교하는 가장 기본적인 잣대가 바로 연평균 수익률입니다. 연평균 수익률은 서로 다른 기간, 다른 금액, 다른 유형의 투자를 객관적으로 비교할 수 있게 해주는 공통 언어와 같습니다.
연평균 수익률(Annual Return)은 1년 동안 투자한 금액 대비 발생한 수익의 비율을 의미합니다. 쉽게 말해 '1년 동안 내 돈이 평균적으로 얼마나 불어났는가'를 나타내는 지표입니다.
예를 들어, A 상품에 6개월 투자해서 4%의 수익을 얻었고, B 상품에 1년 투자해서 7%의 수익을 얻었다면 어떤 투자가 더 효율적이었을까요? 이런 질문에 답하기 위해서는 동일한 시간 단위로 환산한 연평균 수익률이 필요합니다. 연평균 수익률이 없다면 서로 다른 투자를 공정하게 비교하기 어렵습니다.
2. 연평균 수익률과 복리 수익률의 관계
투자 세계에서 진정한 부의 창출은 복리 수익률을 통해 이루어집니다. 복리 수익률은 이전 기간에 발생한 수익이 다음 기간의 원금에 포함되어 새로운 수익을 창출하는 개념입니다.
예를 들어, 1,000만원을 연 10%의 복리 수익률로 투자한다면:
- 1년 후: 1,000만원 × (1 + 0.1) = 1,100만원
- 2년 후: 1,100만원 × (1 + 0.1) = 1,210만원
- 3년 후: 1,210만원 × (1 + 0.1) = 1,331만원
이처럼 복리 수익률은 시간이 지날수록 증가 속도가 빨라지는 특성이 있습니다. 단리와 복리의 차이는 장기 투자에서 더욱 두드러집니다. 10%의 단리 수익률로 10년 투자하면 원금의 2배가 되지만, 10%의 복리 수익률로 10년 투자하면 원금의 2.59배가 됩니다.
진정한 연평균 수익률을 계산할 때는 이러한 복리 효과를 반영해야 합니다. 이것이 바로 CAGR(Compound Annual Growth Rate) 계산의 중요성입니다.
3. 연평균 수익률 계산 방법과 CAGR 계산
연평균 수익률을 계산하는 방법은 크게 단순 수익률과 연평균 복리 수익률(CAGR)로 나눌 수 있습니다.
단순 연 수익률
가장 기본적인 계산 방식으로, 1년 단위의 투자에 적합합니다.

예시: 1,000만원을 주식에 투자해 1년 후 1,150만원이 되었다면

CAGR 계산
여러 해에 걸친 투자의 경우, CAGR 계산이 필수적입니다. CAGR은 투자 기간 동안의 평균적인 연간 성장률을 계산하는 방식입니다.

여기서 n은 투자 기간(년)입니다.
예시: 1,000만원을 투자해 3년 후 1,331만원이 되었다면

즉, 매년 평균적으로 10%의 복리 수익률을 얻었다는 의미입니다.
1년 미만 투자의 연평균 수익률 환산
단기 투자의 경우, 복리 효과를 고려한 연환산 방식이 정확합니다.

예시: 1,000만원을 투자해 6개월 만에 1,050만원이 되었다면

다양한 투자 수익률 계산기를 활용하면 이러한 계산을 쉽게 할 수 있습니다.
4. 실질 수익률과 명목 수익률의 차이
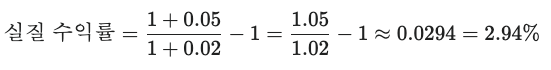
투자 수익률을 평가할 때 명목 수익률만으로는 충분하지 않습니다. 실질 수익률은 인플레이션을 고려한 실제 구매력 증가를 나타내는 중요한 지표입니다.
명목 수익률과 실질 수익률의 관계
명목 수익률은 단순히 계산된 수치상의 수익률인 반면, 실질 수익률은 인플레이션을 고려한 실제 구매력 증가를 나타냅니다.

예시: 연 5%의 명목 수익률을 얻었지만 같은 기간 물가상승률(인플레이션)이 2%였다면

이는 실질적인 구매력이 2.94%만 증가했다는 의미입니다.
실질 수익률의 중요성
인플레이션이 높은 시기에는 명목 수익률이 높아도 실질 수익률은 낮을 수 있습니다. 최근과 같이 인플레이션이 높은 시기에는 투자 결정 시 실질 수익률을 반드시 고려해야 합니다.
예를 들어, 예금 금리가 3%인데 인플레이션이 5%라면, 실질 수익률은 마이너스가 됩니다. 이는 돈의 실질 가치가 감소한다는 의미이므로 다른 투자 대안을 고려해야 합니다.
5. 투자 상품별 연평균 수익률 비교
다양한 투자 상품의 일반적인 연평균 수익률 범위를 비교해보겠습니다. 물론 이는 과거 데이터 기반이며, 미래 수익을 보장하지는 않습니다.
예금 및 적금
- 일반 은행 예금: 연 2~3% (2023년 기준)
- 특판 정기예금: 연 3~4%
- 장점: 원금 보장, 안정성
- 단점: 낮은 수익률, 인플레이션에 취약
채권
- 국고채: 연 3~4%
- 회사채: 연 4~6% (신용등급에 따라 다름)
- 장점: 예금보다 높은 수익률, 비교적 안정적
- 단점: 금리 변동 위험, 원금 손실 가능성 존재
주식 및 주식형 펀드
- 장기 평균 수익률: 연 7~9% (시장과 기간에 따라 크게 달라짐)
- S&P 500 연평균 수익률: 약 10% (1926년부터 계산 시)
- 국내 KOSPI 연평균 수익률: 약 7~8% (장기 기준)
- 장점: 높은 수익 가능성, 인플레이션 헤지
- 단점: 변동성 높음, 단기 손실 위험
부동산
- 임대 수익률: 연 3~5%
- 가격 상승률 포함: 연 5~10% (지역과 시기에 따라 크게 다름)
- 장점: 실물 자산, 인플레이션 헤지
- 단점: 유동성 낮음, 초기 자본 많이 필요
투자 상품을 비교할 때는 단순히 연평균 수익률만이 아니라, 위험도, 유동성, 투자 기간, 세금 등 다양한 요소를 함께 고려해야 합니다. 투자 수익률 계산기를 활용하면 다양한 시나리오를 비교할 수 있습니다.
6. 포트폴리오 수익률 관리와 분산 투자
성공적인 투자의 핵심은 단일 자산의 수익률이 아닌 전체 포트폴리오 수익률의 최적화입니다.
포트폴리오 수익률 계산
전체 포트폴리오의 수익률은 각 자산의 수익률을 가중 평균하여 계산합니다.

여기서 w_i는 각 자산의 비중, r_i는 각 자산의 수익률입니다.
예시 포트폴리오 구성과 예상 연평균 수익률:
- 안전 자산(예금, 국채): 30% × 3% = 0.9%
- 중위험 자산(회사채, 우량주): 40% × 6% = 2.4%
- 고위험 자산(성장주, 해외주식): 30% × 10% = 3.0%
- 포트폴리오 전체 예상 연평균 수익률: 0.9% + 2.4% + 3.0% = 6.3%
분산 투자의 효과
분산 투자는 "모든 달걀을 한 바구니에 담지 말라"는 원칙을 따릅니다. 상관관계가 낮은 자산들로 포트폴리오를 구성하면 전체 위험은 줄이면서도 적정 수익률을 유지할 수 있습니다.
효과적인 분산 투자는:
- 자산 클래스 간 분산 (주식, 채권, 부동산, 현금성 자산)
- 지역적 분산 (국내, 선진국, 신흥국)
- 업종 분산 (IT, 금융, 에너지, 소비재 등)
- 시간적 분산 (적립식 투자를 통한 분할 매수)
포트폴리오 수익률 관리는 개인의 목표, 투자 기간, 위험 감수 능력에 따라 달라져야 합니다. 젊은 투자자는 더 높은 수익률을 추구할 수 있지만, 은퇴에 가까운 투자자는 안정성에 중점을 두어야 합니다.
7. 투자 수익률 계산기 활용 방법
투자 수익률 계산기는 투자 계획과 성과 평가에 필수적인 도구입니다. 다양한 온라인 투자 수익률 계산기를 활용하면 복잡한 계산 없이도 투자 결정을 내릴 수 있습니다.
투자 수익률 계산기의 종류
기본 수익률 계산기
초기 투자금액, 최종 금액, 투자 기간을 입력하면 연평균 수익률(CAGR)을 계산
적립식 투자 수익률 계산기
정기적인 추가 납입이 있는 경우의 수익률 계산
월 적립금, 투자 기간, 예상 수익률로 미래 자산 예측
복리 수익률 계산기
복리 효과를 시각화하여 장기 투자의 효과 확인
투자 기간별 자산 증가 추이를 그래프로 확인 가능
세금 효과 고려 수익률 계산기
세금을 고려한 실질 세후 수익률 계산
다양한 투자 상품의 세금 효과 비교 가능
투자 수익률 계산기 활용 팁
- 여러 다른 투자 시나리오를 비교하여 최적의 전략 도출
- 정기 투자와 일시 투자의 효과 비교
- 금융 목표(예: 은퇴 자금) 달성을 위한 필요 수익률 역산
- 인플레이션을 고려한 실질 수익률 확인
- 다양한 분산 투자 시나리오의 예상 포트폴리오 수익률 계산
투자 수익률 계산기는 단순한 계산 도구를 넘어 투자 교육과 계획 수립에 큰 도움이 됩니다. 네이버 금융, 은행 앱, 각종 투자 앱 등에서 제공하는 계산기를 활용해보세요.
8. 효과적인 연평균 수익률 활용법
연평균 수익률은 투자 성과를 평가하고 비교하는 중요한 지표입니다. 효과적으로 활용하기 위한 핵심 포인트를 정리하면:
다양한 수익률 지표 이해하기: 단순 연 수익률, CAGR 계산, 실질 수익률, 세후 수익률 등 상황에 맞는 지표를 활용하세요.
위험 대비 수익률 평가하기: 높은 수익률만 쫓지 말고, 그에 따른 위험도 함께 고려하세요.
장기적 관점 유지하기: 단기 변동성에 흔들리지 않고, 연평균 수익률을 통한 장기적인 투자 계획을 세우세요.
복리 수익률의 힘 활용하기: 작은 연평균 수익률 차이도 장기적으로는 큰 차이를 만듭니다.
포트폴리오 수익률 정기적 점검: 목표 수익률과 실제 성과를 비교하고, 필요시 자산 배분을 조정하세요.
투자 수익률 계산기 활용하기: 다양한 온라인 계산기를 통해 투자 시나리오를 시뮬레이션하세요.
투자는 마라톤과 같습니다. 단기적인 높은 수익률에 현혹되기보다는, 자신의 페이스와 목표에 맞는 안정적인 연평균 수익률을 꾸준히 달성하는 것이 장기적 성공의 비결입니다. 연평균 수익률을 올바르게 이해하고 활용한다면, 투자 여정에서 더 현명한 결정을 내릴 수 있을 것입니다.
실질 수익률을 고려하고, 복리 수익률의 마법을 활용하며, 다양한 투자 수익률 계산기를 통해 자신의 투자를 정기적으로 점검해보세요. 그리고 기억하세요, 진정한 투자의 성공은 화려한 단기 성과가 아닌 시간이 만들어내는 안정적인 연평균 수익률에서 비롯됩니다.
[함께 읽으면 좋은 글]



'경제금융 용어 쉽게 이해하기' 카테고리의 다른 글
| 세후 수익률과 양도 소득세: 투자 수익에서 세금 빼고 실제로 얼마 남았을까? (2) | 2025.04.19 |
|---|---|
| 원리금 균등 원금 균등 차이, 대출 상환 방식 비교와 현명한 선택법 (1) | 2025.04.19 |
| 신용등급이 뭐예요? 대출과 이자의 핵심 지표 (0) | 2025.04.18 |
| EBITDA 의미와 기업 실적 분석의 핵심 (0) | 2025.04.18 |
| ROE와 ROA 차이, 기업의 수익성을 보는 눈 (2) | 2025.04.18 |